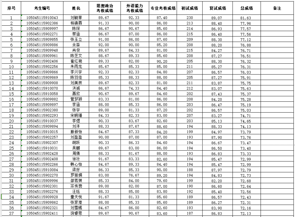
华中农业大学2025年非全日制公共管理硕士(MPA)一志愿复试成绩公示

2025-03-31

各位考生:

    现将华中农业大学2025年非全日制公共管理硕士(MPA)一志愿复试成绩进行公示,公示期2025年3月31日至4月2日12:00。考生如对成绩有异议,可在公示期内提出复议申请。联系电话027-87285058,邮箱:fanhua@mail.hzau.edu.cn。